It is not surprising that the various regions developed their own systems of textile measurement and textile vocabulary. In a world in which the pace of life was relatively slow, regional variations in systems of units were tolerable, but today communications are rapid, and commerce and technology need a uniform system of measurement that is universally accepted and understood. Errors of conversion are automatically eliminated, but, of course, during the transitional stage, there will be misunderstandings and arithmetical errors when old units are converted into new, even when prepared conversion tables are used. For textile calculations, it may be found that the usual sets of conversion tables do not include quantities peculiar to the textile industry. For these quantities, a conversion system must be devised by using first principles and then published as a table or graph or left just as a conversion factor. Most of the calculations made by a textile technologist consist of a series of relatively simple steps, mainly arithmetical and at times using elementary aspects of trigonometry, geometry Algebra. The calculation is generally straightforward; it is the local thinking required that often presents most difficulty. It is usually worth spending a few minutes in considering various approaches to a problem before setting down the first line of calculation. An engineer or research scientist may employ more complex mathematics, a thorough training in pure and applied mathematics being required. The objective of any experiment or measurement should be to produce an answer that is as accurate as the instruments available, and the skill of operator will allow. For many calculations, the person doing the necessary numerical work has a rough idea of the order of magnitude he should obtain. Scientific sampling, design of experiments, the analysis, presentation and interpretation of data through statistical techniques-all these created the concept of specification, production and inspection as a dynamic cycle. Inspection now is the source of data which, analysed and interpreted through statistical methods, is continuously feedback to production people for corrective and preventive action. Inspection, that is, the act of screening out defectives before they reached the customer.
Need for Mathematics in Textiles
In any manufactured product no two articles are perfectly alike, for example, it is impossible to find two knots of yarn having the same count, strength, evenness, length etc. this is because the raw material i.e. cotton itself varies from fibre to fibre within a bale, bale to bale, and season to season. The quality of the product in each process, therefore, varies according to the variation in the raw material used and degree of technical and refinement attained during processing. Further, machines and tools wear and tear due to long use it is neither possible nor economical to replace the machine. Superimposed on this is the variation arising from lack of fibre control during drafting and that from chance causes. Further, it is impossible to eliminate the effect of human factor entirely. Changes in atmospheric conditions also contribute towards an increase in overall variation in the quality of the product. These variations in various regions are often occurring problems in textile. Using various mathematical calculations can solve these variations.
Various Mathematical Calculation Methods Involved in Textile

Statistical Techniques
Statistics is defined as scientific method, which deals with collection, compilation, analysis and presentation of data. It is also defined as the science of average and the study of variability. They enable us to take corrective and preventive actions in case of variability and certainty. Some of the statistical techniques are:
Chi-square Test: This method is used when there is no prior knowledge of the distribution of test values. They are also used to identify the goodness of he fit of the given samples. End breakages in spinning, roving, carding, nep generation in blow room and carding are assessed using this test. The results are compared with the confidence limits and the performances are determined.

'F' Test: This distribution is used to test the equality of variance of the populations from which two small samples have been drawn. Auto-leveller performance, c.v. of sliver hank, twist variability, etc. are determined using this test.

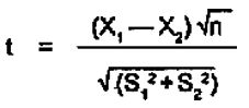
'T' Test: They are used to assess the performance of the same specimen produced from different sectors, machines and to compare the result to improve the status. E.g. comparing hariness between two samples produced from the different machines.

Critical Difference: It is a measure of the difference between two values that arises solely due to natural or unavoidable causes. This determines the number of samples to be taken for each test and the tolerance limit for the results. E.g. for 2.5 per cent span length testing 4 combs per sample are to be tested and the tolerance value is 4 per cent of mean.
Six Sigma: Used to designate the distribution spread about the mean of any processes or procedure or product that indicates how well the process is performing. The performance sigma measures the 3.4 defectives per million which is virtually defect free. As sigma increases costs go down, cycle time goes down and customer satisfaction goes up.

Linear Programming: In this method the individual properties are combined to give the resultant property of the mixing in spinning.
Snap Study: A round inside the department to list the number of machines stopped due to various causes is known as snap study. It helps in calculating the production accurately by avoiding the machines stoppages.

Graphical Analysis
Charts are used represent the data in graphical form so that we can get relative variations between two or more variables. Some of the various graphical representations are:
Control Chart: It shows when the job is running satisfactorily, shows a needing corrective action when something went wrong, and it provides a measure for improving the process. It as a powerful tool for monitoring variations in process. It is applicable mainly in spinning to have control over the various process and variables such as hank, degree of opening and cleaning. Variations in production and quality in various sectors like spinning, weaving, knitting, etc. can be analysed.
Histogram: Histogram is a simple graph compiling measured data such as GSM, Dia., Garment measurement, etc. It serves to estimate the extend of variation in the group and to determine either the non-conformance is due to setting or variability.
Nomogram: The variables of the calculation are indicated on scales of separate graphs and the answer is arrived at with the aid of a straight edge. Nomogram are used in ring frame production, spindle speed calculation, twist/cm, yarn delivery, etc.

Coefficient of Variation
When we refer to "average" of something, we are talking about its arithmetic mean. For ungrouped population, population arithmetic mean µ is given by

Standard Deviation: This measure of dispersion is probably the most widely used method of indicating scatter, together with the associated coefficient of variation.

In the view of above inherent variations, the frequency, i.e. the number of times each characteristic will occur in a sample, would also vary when many readings are taken. The variation in count, yarn strength, yarn twist, roving stretch, effective length of fibres, between and with-in bobbin count variations, fibre length can be measured by the "Co-efficient of variation" (C.V) which is merely the standard deviation expressed as a percentage of the average.
Sampling by Distribution Function
Distributions are used to calculate the number of trials to be taken for testing and to get the accurate results. The following distributions are used in textile for testing, sampling etc.
Binomial Distribution: We consider n trials made in an experiment, p as probability of getting a success and q as probability of getting a failure. If the number of samples is less than 30 binomial distribution is used. It is used to determine the displacement of driving pin with the crank angle in the weaving looms by this we can also calculate the speed of the machine.
Binomial theorem of probability: Let there be n independent trials of an experiment with p as probability of success and q=1-p as the probability of failure.
Then, P(r successes) = 
Poisson distribution: In a Poisson distribution with mean m, the probability is

Poisson distribution is when the number of samples is more than 30. It is used for nep counting, i.e. to determine the number of neps present in the blow room lap, carding slivers, etc.
Normal Distributions: A sample is called large or small according as n≥30 or n<30. the sampling distribution of large samples is assumed to be normal. The normal curve with mean µ and standard deviation σ is given by

Using confidence limits, critical regions in normal distributions we can determine the productivity as well as quality are with in control or not.
Probability Distribution: Probability distribution can be thought to be a theoretical frequency distribution that describes how outcomes are expected to vary. Since these distributions’ deals with expectations, they are useful models in making inferences and decisions under conditions of uncertainly. There are two distributions namely, addition theorem and multiplication theorem of probability.
These probabilities are used for sampling in textile.
Baye's Theorem: If H1, H2…..Hn form a set of mutually exclusive and exhaustive events of a random experiment and E is an event.
In general vectors represent those quantities, which have both magnitude and direction. Resultant vectors are available to calculate the net effect of the two vectors.
- They are used to analyse the path taken by the shuttle where it has traverse motion, lateral motion, and vertical movement.
- Used to calculate the net winding rate and the angle at what the traverse path will the yarn be wound onto the package.
- In many testing instruments vectors are helpful in analysing the load to be applied, force acting on the specimen, to calculate breaking load, controlling the movement of the pointer, determining the forces involved in the inclined plane testing devices, etc.
- To calculate the force acting on the backrest of a loom due to warp tension.
- As simple harmonic equations it is used in the calculation of velocity, acceleration, speed and displacement of shuttle at various crank positions.
Pythagoras Theorem: Actual winding rate in cone winding machine can be calculated with the given suitable data.
Angle of Inclination: The angle at which a particular object is inclined with reference to the given object plays a vital important role in assessing the performance. Further they are used in determining the coil angle of cop, crank angle positions in weaving, winding angle, traverse ratio, angle of wind, chase angle from which the shape and content of the package of the package are calculated.
Frictional Drives: Friction which is calculated from angle of contact with the surface of the moving and stationery object is used to analyse the tension present in the yarn, tension required, and the tensioner weight needed in warping and many other processes.
Conversions and General Mathematics
Mathematics is interlinked to each and every process involved in any field. Some of the important general applications of mathematics in textile are as follows:
- Conversions from one unit to other as different countries have different set of units and to convert to common unit. E.g. denier, tex, count, etc.
- To arrive at a relationship between two or more variables so that by knowing one variable we can find the other. E.g. Tpi-count-twist multiplier, stitch length-wales-spacing, etc.
- By using the area, volume and density of the shapes, cross section of the fibre, density, volume and geometry of the structure can be analysed.
- Production, Efficiency, Cover factor, Speed of the machines from gearing, weft preparation calculations in weaving, beam requirement in warping and in so many other applications in various department.
The main aim of the computer colour matching is not only to obtain the desired shade but also to analyse the various possibilities to get the shades at minimum cost.
Matrix: In this method the various dye compositions, their intensity, proportion, concentration and cost are treated as variables in matrix and solved by tristimulus method to get the required data.
Factorials: Factorials are used to explore how many combinations can match the shade, which of them are economical or how close they are when viewed in different light (metamerism).

Partial Differentiation: It is used to predict the accuracy of the colour, alignment of dyes, reflectance measurement, saturation limit, compatibility and differences in the strength and tone of the dye used.
Comments